ANOVA PANCAN result package
Francesco Iorio, EMBL - European Bioinformatics Institute
result parsing started on 2016-03-31 19:00:53 iorio@ebi.ac.uk
Drug Domain: GDSC1000_paper_set, Analysis Domain: panCancer
Individual association analysis: a176
| association id |
FEATURE |
Drug id |
Propr |
Public |
Drug Name |
Drug Target |
N FEATURE pos |
N FEATURE neg |
log max Conc tested |
FEATURE neg logIC50 MEAN |
FEATURE pos logIC50 MEAN |
FEATURE deltaMEAN IC50 |
FEATURE IC50 effectSize |
FEATURE neg Glass delta |
FEATURE pos Glass delta |
ANOVA FEATURE pval |
Tissue ANOVA pval |
MSI ANOVA pval |
ANOVA FEATURE FDR % |
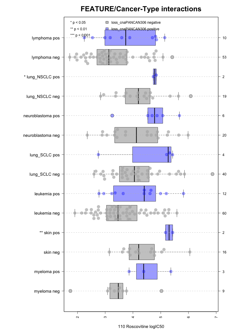
a176 |
loss_cnaPANCAN306 |
110 |
1 |
1 |
Roscovitine |
CDKs |
43 |
354 |
2.77 |
3.87 |
4.36 |
0.485 |
0.5 . |
0.5 . |
0.51 . |
6.01e-05 |
1.8e-04 |
8.98e-01 |
5.6 |