ANOVA PANCAN result package
Francesco Iorio, EMBL - European Bioinformatics Institute
result parsing started on 2016-03-31 19:00:56 iorio@ebi.ac.uk
Drug Domain: GDSC1000_paper_set, Analysis Domain: panCancer
Individual association analysis: a286
| association id |
FEATURE |
Drug id |
Propr |
Public |
Drug Name |
Drug Target |
N FEATURE pos |
N FEATURE neg |
log max Conc tested |
FEATURE neg logIC50 MEAN |
FEATURE pos logIC50 MEAN |
FEATURE deltaMEAN IC50 |
FEATURE IC50 effectSize |
FEATURE neg Glass delta |
FEATURE pos Glass delta |
ANOVA FEATURE pval |
Tissue ANOVA pval |
MSI ANOVA pval |
ANOVA FEATURE FDR % |
a286 |
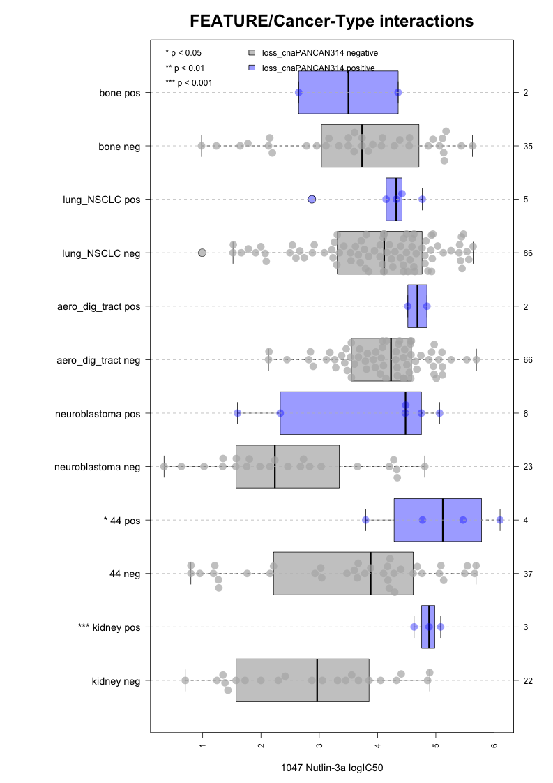
loss_cnaPANCAN314 |
1047 |
1 |
1 |
Nutlin-3a |
MDM2 |
28 |
818 |
2.08, 1.39 |
3.5 |
4.26 |
0.759 |
0.56 . |
0.56 . |
0.76 . |
2.12e-04 |
9.05e-32 |
6.37e-02 |
12 |