ANOVA PANCAN result package
Francesco Iorio, EMBL - European Bioinformatics Institute
result parsing started on 2016-03-31 19:00:51 iorio@ebi.ac.uk
Drug Domain: GDSC1000_paper_set, Analysis Domain: panCancer
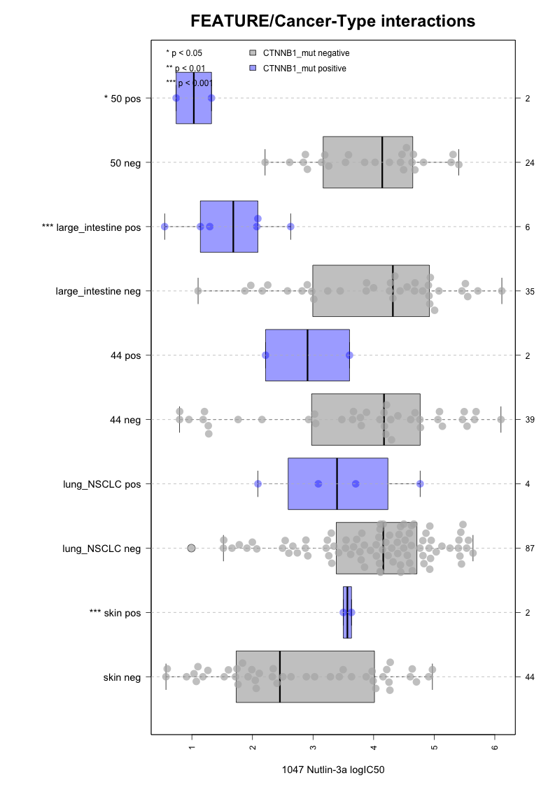
Individual association analysis: a93
| association id |
FEATURE |
Drug id |
Propr |
Public |
Drug Name |
Drug Target |
N FEATURE pos |
N FEATURE neg |
log max Conc tested |
FEATURE neg logIC50 MEAN |
FEATURE pos logIC50 MEAN |
FEATURE deltaMEAN IC50 |
FEATURE IC50 effectSize |
FEATURE neg Glass delta |
FEATURE pos Glass delta |
ANOVA FEATURE pval |
Tissue ANOVA pval |
MSI ANOVA pval |
ANOVA FEATURE FDR % |
a93 |
CTNNB1_mut |
1047 |
1 |
1 |
Nutlin-3a |
MDM2 |
17 |
829 |
2.08, 1.39 |
3.55 |
2.33 |
-1.22 |
0.9 . |
0.9 . |
1 . |
8.07e-06 |
4.75e-32 |
6.27e-02 |
1.4 |